廉洁家书话真情,纸短“廉”长润万家
——珠宝国检集团工会开展清廉家书手札活动
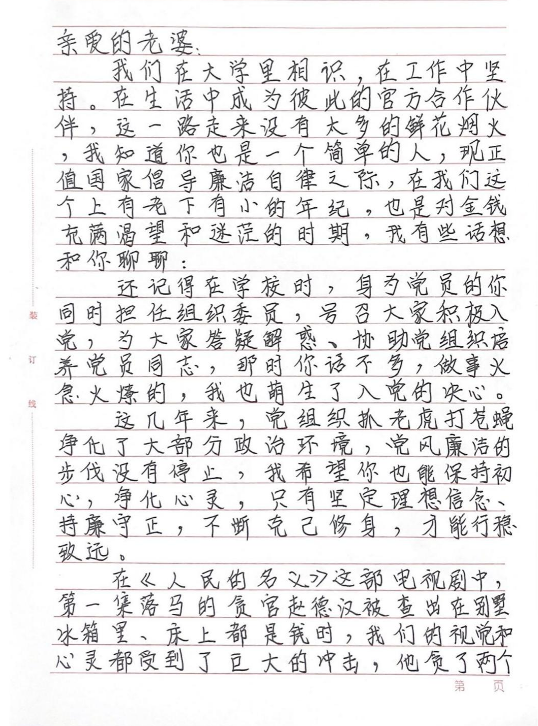
为深入学习宣传贯彻党的二十大精神,以实际行动贯彻落实习近平总书记关于注重家庭家教家风建设的重要论述,引导珠宝国检集团干部职工和家庭成员培育和践行社会主义核心价值观,传承优良家风,珠宝国检集团工会以“树清廉家风 创最美家庭”为主题,开展清廉家书手札活动。集团干部职工积极响应,用真挚朴素的语言表达了爱党爱国爱家的情怀。
天下之本在国,国之本在家,一封封家书语言朴实却富有感情,承载期望,字里行间流露出谦、廉、勤、正等字眼,在表达浓浓亲情的同时,也传播了满满的廉洁正能量。


一封封手写的廉勤家书,一句句发自肺腑的叮嘱,承载了父母对孩子殷切的期望和真挚祝福,在表达浓浓亲情的同时也传播了满满的廉洁正能量。


从前的车马很慢,书信很远,越古老的方式,越能无拘无束的倾诉情意。一纸家书,承载着厚重的思念与绵密的情感;一声叮嘱,传递着廉洁的嘱托与殷切的期许。家书,是家人亲情的纽带,亦是行走岁月的家风……


家风建设是每个家庭的必修课,习近平总书记指出,家风正,则民风淳;家风正,则政风清;家风正,则党风端。涵养良好家风,对个人、对家庭、对社会都有着极其重要的意义?!爸蕉獭?,言简情深,廉洁家书活动,承载着亲情与牵挂,传递着温暖与期许,是家庭文化融入到党风廉政建设的新举措。通过此次活动,让廉洁文化融入集团日常各项工作中,营造崇廉、思廉、尚廉的浓厚氛围,助力形成崇俭尚廉、崇德向善、风清气正的良好社会风尚。
供稿单位:珠宝国检集团工会
| 微信 | 微博 | 抖音 | APP | ||||
|
|
|
|
|
|||
珠宝国检 中国珠宝行业网 珠宝国检深圳实验室 珠宝国检北京实验室 珠宝国检集团培训中心 NGTC国检教育 国检珠宝培训中心上海分校 珠宝国检集团培训中心广州 珠宝国检NGTC研究所
版权所有?国家珠宝玉石首饰检验集团有限公司京ICP备2024047581号-2